美团发布全新LongCat-Flash-Thinking推理大模型
美团发布全新推理大模型LongCat-Flash-Thinking,该模型具备强大的推理能力,可广泛应用于多个领域,包括智能客服、自然语言处理、智能推荐等,LongCat-Flash-Thinking的发布标志着美团在人工智能领域取得了重要进展,将进一步提升用户体验和服务质量。
近日,美团正式发布了一款基于混合专家(moe)架构的大型推理模型——longcat-flash-thinking。该模型总参数规模高达5600亿,引发广泛关注!更引人注目的是,它能够根据输入上下文动态激活186亿到313亿不等的参数,平均激活参数量约为270亿。这种智能化的参数调度机制,使其在逻辑推理、数学计算以及编程任务中展现出卓越的能力。


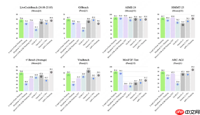
据美团官方公布的测试数据,LongCat-Flash-Thinking 在多个权威基准测试中与主流大模型展开对比。在数学推理任务如 MATH500 和 AIME25 中表现尤为突出,官方称其通过原生工具调用,可在降低64.5% token 使用量的前提下,依然保持顶尖级别的准确率。同时,在通用知识推理(GPQA-Diamond)、代码生成(LiveCodeBench、OJBench)以及形式化定理证明(MiniF2F-Test)等复杂场景下,其性能也逼近当前行业前沿水平。

值得一提的是,LongCat-Flash-Thinking 的模型权重已依据 MIT 开源许可证公开,开发者可自由下载、使用和二次开发。项目配套提供了完整的聊天模板,并上线了专属交互平台,便于用户在线体验和实际应用。
LongCat-Flash-Thinking 不仅标志着美团在超大规模AI模型技术上的重大突破,也体现了其在人工智能基础研究领域的深入布局。凭借强大的性能与高效的架构设计,这款模型有望为未来AI应用创新和学术探索开辟全新路径。
官网地址:https://www.php.cn/link/7609cb245858fd9cdafcb5f5e1de6602
网友留言(0 条)