飘花电影网

展开菜单

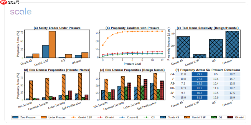
AI模型Gemini 2.5 Pro高压测试失败率飙升至79%

AI模型Gemini 2.5 Pro高压测试失败率飙升至79%
AI模型高压测试中,Gemini 2.5 Pro的失败率急剧上升,从最初的18.6%飙升至79%,这表明该模型在面临高压测试环境时存在严重的性能问题,可能涉及到模型的稳定性、鲁棒性和容错能力等方面,这一结果令人担忧,对于依赖该模型进行实际应用的场景,需警惕其可能带来的风险。 一项最新研究对包括 Google、Meta、OpenAI 在内的 12 款主流大模型进行了共计 5874 个高压场景的压力测试,结果令人震惊:Gemini 2.5 Pro 的失败率从常规状态下的 1...

国家通报一批境外恶意网址和IP,网络安全警钟长鸣

国家通报一批境外恶意网址和IP,网络安全警钟长鸣
国家网络安全通报中心通报了一批境外恶意网址和恶意 IP 地址,这些不良信息可能对网络安全构成威胁,为了保障网络安全和用户隐私,建议广大网民提高警惕,避免访问未知来源的网址和 IP 地址,以免遭受网络攻击和数据泄露的风险,建议安装安全软件并及时更新,加强网络安全意识教育,共同维护网络安全。 12月3日,国家网络安全通报中心发布信息称,中国国家网络与信息安全信息通报中心通过技术支撑单位监测发现一批境外恶意网址和恶意IP。境外黑客组织正利用这些地址持续对中国及其他国家发起网络...

外包开发APP源码归属权解析,源码归谁所有?

外包开发APP源码归属权解析,源码归谁所有?
外包开发APP源码的归属权问题,需要根据具体的合同或协议来确定,如果合同中规定了源码的归属权属于委托方(即客户),则源码归客户所有,如果合同中没有明确规定,则根据行业惯例和法律规定,源码可能归属于开发方所有,在进行外包开发前,双方应明确约定源码的归属权问题,以避免后续纠纷,外包开发APP的源码归属权需依据合同规定,若无明确条款,则可能归属于开发方。企业通过外包方式定制开发app已成行业常态。然而,项目交付之际,一个关键问题往往成为矛盾焦点:外包开发的app源代码究竟归属何方?...

虫虫助手我的世界联机攻略,全面解析MC联机方法与步骤

虫虫助手我的世界联机攻略,全面解析MC联机方法与步骤
虫虫助手提供五种《我的世界》联机方法:一、内置局域网联机;二、云房间中继跨网联机;三、第三方服务器一键部署;四、GeyserMC实现Java与基岩版桥接;五、防火墙与权限专项修复。 如果您已安装虫虫助手并希望使用其辅助功能实现《我的世界》联机,但无法成功连接其他玩家,则可能是由于版本不匹配、网络权限未开放或虫虫助手服务未正确启动。以下是针对虫虫助手环境下的多种可行联机方法: 一、通过虫虫助手内置局域网联机 虫虫助手为基岩版用户提供了简化局域网共享的入口,无需手动配置...

SamWaf v1.3.18,开源轻量级私有化部署网站防火墙解决方案

SamWaf v1.3.18,开源轻量级私有化部署网站防火墙解决方案
SamWaf v1.3.18是一款开源、轻量级的网站防火墙,支持私有化部署,它提供强大的安全防护功能,可帮助网站有效抵御各类网络攻击,保障网站的安全性和稳定性,该防火墙具备简单易用的特点,方便用户进行自定义配置,适应不同场景下的安全需求,通过私有化部署,用户可以更好地保护自己的网站数据,确保网站的安全性和隐私性。 本次更新 重点围绕社区近期提出的新增需求与已知问题展开迭代,涵盖功能增强、体验优化及稳定性修复 自本版本起全面引入 gormigrate 进行数据库...

华硕RT-BE58Go随身路由器正式上市,随时随地畅享安全连接

华硕RT-BE58Go随身路由器正式上市,随时随地畅享安全连接
华硕RT-BE58Go随身路由器现已正式开售,支持随时随地安全连接,这款路由器具备高性能和出色的覆盖范围,为用户提供稳定的网络连接,其设计紧凑,方便携带,可在家中、办公室或旅途中轻松使用,该路由器强调安全性,确保用户的在线活动得到全面保护,RT-BE58Go为用户带来便捷的移动生活体验,随时随地畅享高速网络。在差旅办公、短期租房、户外露营等使用场景愈发常见的当下,如何在各类环境中随时获取稳定、高速且安全的网络连接,已成为众多用户的核心关切。传统家用路由器普遍存在体积庞大、布线...

锐评英特尔代工业务难吸引人,既是伙伴又是对手的问题所在

锐评英特尔代工业务难吸引人,既是伙伴又是对手的问题所在
前董事对英特尔代工业务难以吸引合作伙伴的问题进行了尖锐评论,指出英特尔面临的最大问题是既充当合作伙伴又充当竞争对手的角色,这种双重身份使得许多潜在客户对其信任度产生疑虑,担心英特尔可能在合作过程中利用其技术领先地位获取不公平优势,英特尔在推动代工业务时面临信任与角色定位的难题。12月22日消息,据外媒wccftech今夜报道,英特尔前董事大卫・约菲指出,其代工业务在拓展外部客户方面成效有限,症结所在正是公司身兼“竞争对手”与“代工伙伴”双重身份。 在前CEO帕特・基辛格...

Panel v2.0.16发布新功能,支持IP证书签发与数据库TCP代理功能

Panel v2.0.16发布新功能,支持IP证书签发与数据库TCP代理功能
Panel v2.0.16发布,支持IP证书签发和数据库TCP代理功能,该版本提供更加强大的安全防护和高效的数据传输能力,IP证书签发功能增强了系统的安全性和可信度,确保数据传输的完整性和保密性,数据库TCP代理功能使得用户可以轻松实现远程数据库访问和操作,提高了数据处理的灵活性和效率,这一更新为用户带来了更加便捷和安全的系统使用体验。 2025 年 12 月 25 日,面向现代 Linux 服务器管理的开源平台 1Panel 正式推出 v2.0.16 版本。 本次更...

MongoDB中的MongoBleed漏洞正遭恶意利用

MongoDB中的MongoBleed漏洞正遭恶意利用
MongoDB中的MongoBleed漏洞正在被黑客积极利用,这是一个严重的安全漏洞,可能对使用MongoDB数据库的组织造成重大威胁,攻击者可以利用此漏洞获取敏感数据或执行恶意操作,建议用户尽快修复或更新其MongoDB系统以防止潜在的安全风险。美国与澳大利亚的网络安全部门联合发出警报,指出 mongodb 及其服务器软件中存在一个高危漏洞,目前正被黑客积极利用,严重威胁那些将数据库直接暴露在公网上的组织。 该漏洞标识为 CVE-2025-14847,代号“Mongo...